Open Access

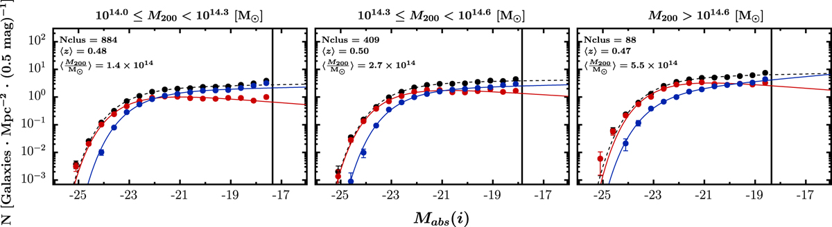
Fig. 13

image

Mass dependence of the i-band stacked GLF in the CFHTLS Wide fields. Black is for all galaxies, red for ETGs, and blue for LTGs. For each figure the number of clusters, their mean redshift, and mass is indicated. The black vertical line indicates the limiting magnitude used in the fit.

Current usage metrics show cumulative count of Article Views (full-text article views including HTML views, PDF and ePub downloads, according to the available data) and Abstracts Views on Vision4Press platform.

Data correspond to usage on the plateform after 2015. The current usage metrics is available 48-96 hours after online publication and is updated daily on week days.

Initial download of the metrics may take a while.