Free Access

Fig. 7

image

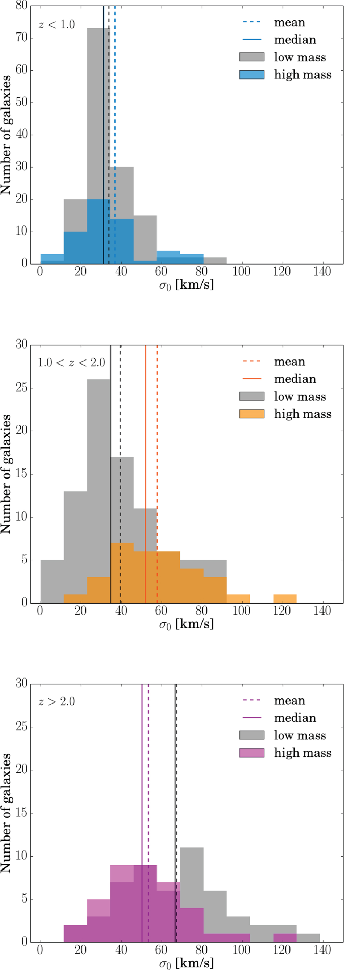
Histograms of the intrinsic velocity dispersion for low and high masses at z < 1.0 (top panel), 1.0 < z < 2.0 (middle panel), and z > 2 (bottom panel). The low mass galaxies are defined as log(MM) < 10.2 and high mass as log(MM) >  10.2. The compilation is the same as in Fig. 6.

Current usage metrics show cumulative count of Article Views (full-text article views including HTML views, PDF and ePub downloads, according to the available data) and Abstracts Views on Vision4Press platform.

Data correspond to usage on the plateform after 2015. The current usage metrics is available 48-96 hours after online publication and is updated daily on week days.

Initial download of the metrics may take a while.