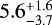
Table 1
Integrated properties.
| Objects | Coordinates J2000 | zphot | zspec | Lines | μa | log(M⋆)b | SFR |
SFR |
ΔSFRc |
|---|---|---|---|---|---|---|---|---|---|
| RA - Dec | [M⊙] | [M⊙ yr−1] | [M⊙ yr−1] | ||||||
| AS1063-1816 | 342.1863831 − 44.5211345 | 1.52 | 1.2277 | Hα | 4.52 ± 0.12 | 0.90 ± 0.07 | − 0.40 | ||
| AS1063-658 | 342.1955084 − 44.5470291 | 1.48 | 1.3528 | Hα | 1.51 ± 0.03 | 2.16 ± 0.09 | − 0.59 | ||
| AS1063-1611 | 342.1790680 − 44.5235948 | 1.70 | 1.3971 | Hα | 3.84 ± 0.11 | 1.38 ± 0.09 | 1.03 | ||
| AS1063-1670 | 342.1991817 − 44.5133024 | 1.48 | 1.4267 | Hα | 2.15 ± 0.04 | 1.11 ± 0.27 | − 1.08 | ||
| AS1063-1152d | 342.1757472 − 44.5324889 | 1.61 | 1.4283 | Hα | 5.51 ± 0.27 | 0.49 ± 0.07 | − 0.78 | ||
| AS1063-1321d | 342.1741608 − 44.5283941 | 1.52 | 1.4285 | Hα, [NII] | 6.13 ± 0.24 | 0.66 ± 0.11 | − 0.31 | ||
| AS1063-1331 | 342.2084851 − 44.5292163 | 1.74 | 1.6372 | Hα | 2.14 ± 0.04 | 1.24 ± 0.11 | − 0.12 | ||
| AS1063-732 | 342.2051886 − 44.5444467 | 1.69 | 1.6388 | Hα | 1.39 ± 0.03 | 3.37 ± 0.15 | 1.01 | ||
| AS1063-1904 | 342.1546074 − 44.5225565 | 1.73 | 2.0659 | [OIII]f | 1.55 ± 0.02 | – | − 0.69 | ||
| AS1063-606_1 | 342.1707948 − 44.5491248 | 2.62 | 2.3015 | Hα,[OIII]f,Hβ | 2.13 ± 0.03 | 3.52 ± 0.29 | 0.17 | ||
| AS1063-942 | 342.1610461 − 44.5381665 | 2.21 | 2.5803 | [OIII]f,Hβ | 4.75 ± 0.17 | – | 0.94 | ||
| AS1063-885e | 342.1731519 − 44.5399842 | 2.00 | 3.1171 | [OIII] | 11.2 ± 0.46 | – | 0.97 | ||
| AS1063-1720 | 342.2053289 − 44.5154793 | 2.84 | 3.5457 | [OIII] | 3.56 ± 0.12 | – | − 0.90 | ||
| MACS1206-2005 | 181.5630588 − 8.7869808 | 1.62 | 1.4295 | Hα | 1.53 ± 0.08 | 8.23 ± 0.49 | 0.56 | ||
| MACS1206-1123 | 181.5690990 − 8.8022439 | 1.64 | 1.6421 | Hα | 3.21 ± 0.04 | 1.41 ± 0.12 | 0.49 | ||
| MACS1206-1409e | 181.5715377 − 8.7977022 | 1.68 | 1.7112 | Hα | 2.07 ± 0.07 | 1.68 ± 1.1 | 0.10 | ||
| MACS1206-1235 | 181.5266014 − 8.8002829 | 1.85 | 1.7217 | Hα | 1.83 ± 0.08 | 6.58 ± 2.4 | 0.96 | ||
| MACS1206-445e | 181.5483326 − 8.8180914 | 2.08 | 1.9125 | [OIII] | 1.63 ± 0.08 | – | − 0.09 | ||
| MACS1206-415 | 181.5540750 − 8.8189422 | 2.20 | 2.0710 | Hα,[OIII] | 1.62 ± 0.08 | 3.03 ± 0.72 | − 0.51 | ||
| MACS1206-1622 | 181.5653243 − 8.7935456 | 2.44 | 2.0967 | Hα | 2.26 ± 0.15 | 2.57 ± 0.25 | 0.29 | ||
| MACS1206-2372 | 181.5552845 − 8.7885902 | 1.97 | 2.3409 | Hα | 2.12 ± 0.16 | 4.64 ± 0.69 | 0.02 | ||
| MACS1206-1616_1 | 181.5704100 − 8.7944666 | 2.86 | 2.4145 | Hα | 2.01 ± 0.11 | 4.69 ± 0.98 | 0.42 | ||
| MACS1206-1472d | 181.5626048 − 8.7967459 | 2.43 | 3.0380 | [OIII] | 4.92 ± 0.47 | – | − 0.30 | ||
| MACS1206-820d | 181.5605720 − 8.8089877 | 3.04 | 3.0380 | [OIII] | 7.90 ± 0.56 | – | 0.84 |
Notes. (a) The magnifications μ from the mass models of Richard et al. (2014) and Cava et al. (2018) have been used for AS1063 and MACS1206-08, respectively. (b) M⋆, SFRSED, and SFRH α are corrected for Chabrier (2003) and for the magnification. SFRHα is not corrected for the dust attenuation. (c) ΔSFR is defined as ΔSFR = log(SFR∕SFRMS). We use the main sequence relation from Tomczak et al. (2016) to determine SFR MS. (d) Multiple images of the same galaxies. MACS1206-820 is an image of only the top left clump of MACS1206-1472 (see Fig. A.2). (e) These three galaxies are unresolved. (f) The [OIII] in this table refers to the [OIII]λ5007 emission line, except in these three cases where both [OIII]λλ4960, 5007 are detected.
Current usage metrics show cumulative count of Article Views (full-text article views including HTML views, PDF and ePub downloads, according to the available data) and Abstracts Views on Vision4Press platform.
Data correspond to usage on the plateform after 2015. The current usage metrics is available 48-96 hours after online publication and is updated daily on week days.
Initial download of the metrics may take a while.