Table 3
Results of the tidal heating calculations.
| Planet | Teq | Ftidal | FRG | |
|---|---|---|---|---|
| b | 1014 ± 289 | |||
| c | 540 ± 154 | |||
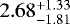
| d | 1618+33 | 271 ± 78 | ||
| e | 157 ± 45 | |||
| f | 91 ± 26 | |||
| g | – | 0 ± 0 | 61 ± 18 | |
| h | – | 0 ± 0 | 35 ± 10 |
Notes. The table lists: equilibrium temperature in the mantle (Teq in Kelvin), tidal heat flux (Ftidal), globally averaged energy flux at the top of the atmosphere (
) and limit for the runaway greenhouse flux (FRG). All heat fluxes are reported in W m−2. The missing lower error for planet d indicates that the equilibrium temperature was not found in all investigated cases because of the low tidal heating rate, and as a consequence, there was no value below 1618 K. Similarly, no equilibrium temperature was found for planets g and h. Calculations were made using three different planetary albedos for each planet: 0.1, 0.3 and 0.5.
Current usage metrics show cumulative count of Article Views (full-text article views including HTML views, PDF and ePub downloads, according to the available data) and Abstracts Views on Vision4Press platform.
Data correspond to usage on the plateform after 2015. The current usage metrics is available 48-96 hours after online publication and is updated daily on week days.
Initial download of the metrics may take a while.