Free Access

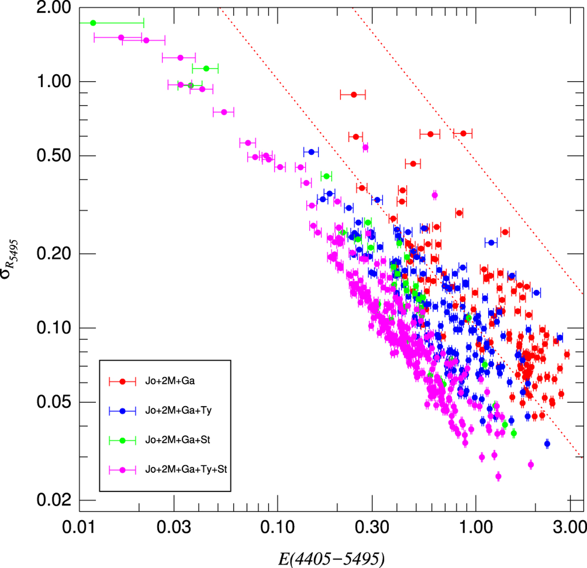
Fig. 1

image

as a functionof E(4405 − 5495) for the MA14 extinction family CHORIZOS runs. Colors are used to distinguish the subsamples: red for J2G, blue for J2GT, green for J2GS, and magenta for J2GTS. The two dotted lines show the prediction of Eq. (D.2) for [a]= 0.03 and R5495 = 3.0 (lower line) and [b] = 0.10 and R5495 = 5.0 (upper line).

Current usage metrics show cumulative count of Article Views (full-text article views including HTML views, PDF and ePub downloads, according to the available data) and Abstracts Views on Vision4Press platform.

Data correspond to usage on the plateform after 2015. The current usage metrics is available 48-96 hours after online publication and is updated daily on week days.

Initial download of the metrics may take a while.