Free Access

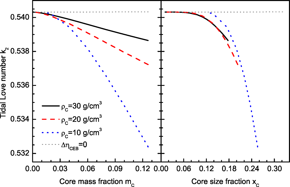
Fig. 5

image

Jupiter’s tidal Love number k2 as a function of core mass fraction (left) and core size fraction (right). The curves show solutions for core densities of ρC = 30 (black solid lines), 20 (red dashed lines), and 10 (blue dotted lines) g cm−3, respectively. The extreme case of ΔηCEB = 0 is also illustrated by thin gray dotted lines.

Current usage metrics show cumulative count of Article Views (full-text article views including HTML views, PDF and ePub downloads, according to the available data) and Abstracts Views on Vision4Press platform.

Data correspond to usage on the plateform after 2015. The current usage metrics is available 48-96 hours after online publication and is updated daily on week days.

Initial download of the metrics may take a while.