Free Access

This article has an erratum: [https://doi.org/10.1051/0004-6361/201732248e]


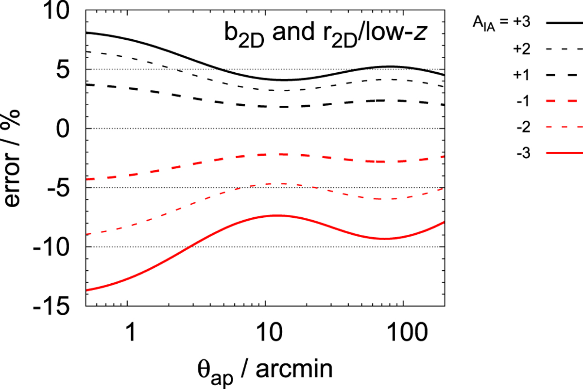
Fig. 10

image

Systematic relative errors in b2D(θap) (low-z and high-z) and r2D(θap) (only low-z) when II andGI terms are ignored in the normalisation of the galaxy bias. Different lines show predictions for different values of Aia with sourcesas in our mock survey. The fiducial cosmology is WMAP9.

Current usage metrics show cumulative count of Article Views (full-text article views including HTML views, PDF and ePub downloads, according to the available data) and Abstracts Views on Vision4Press platform.

Data correspond to usage on the plateform after 2015. The current usage metrics is available 48-96 hours after online publication and is updated daily on week days.

Initial download of the metrics may take a while.