Free Access

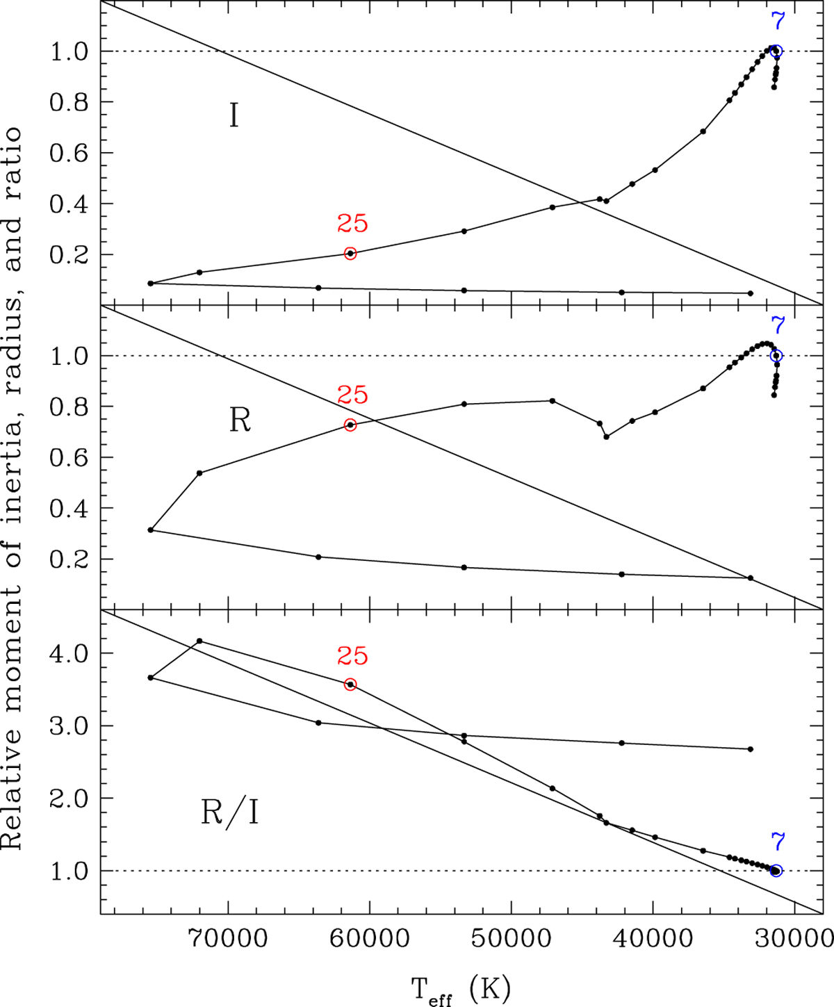
Fig. 4

image

Variation of the relative moment of inertia (top panel), of the relative total radius (middle panel), and of the relative ratio of the radius-to-the-moment-of-inertia (lower panel) along our representative track. The format is similar to that of Fig. 1. These quantities are plotted with respect to those of the reference EHB model, Model #7, as a function of effective temperature. The figure reveals that the ratio of R/I is maximumfor Model #26.

Current usage metrics show cumulative count of Article Views (full-text article views including HTML views, PDF and ePub downloads, according to the available data) and Abstracts Views on Vision4Press platform.

Data correspond to usage on the plateform after 2015. The current usage metrics is available 48-96 hours after online publication and is updated daily on week days.

Initial download of the metrics may take a while.