Free Access

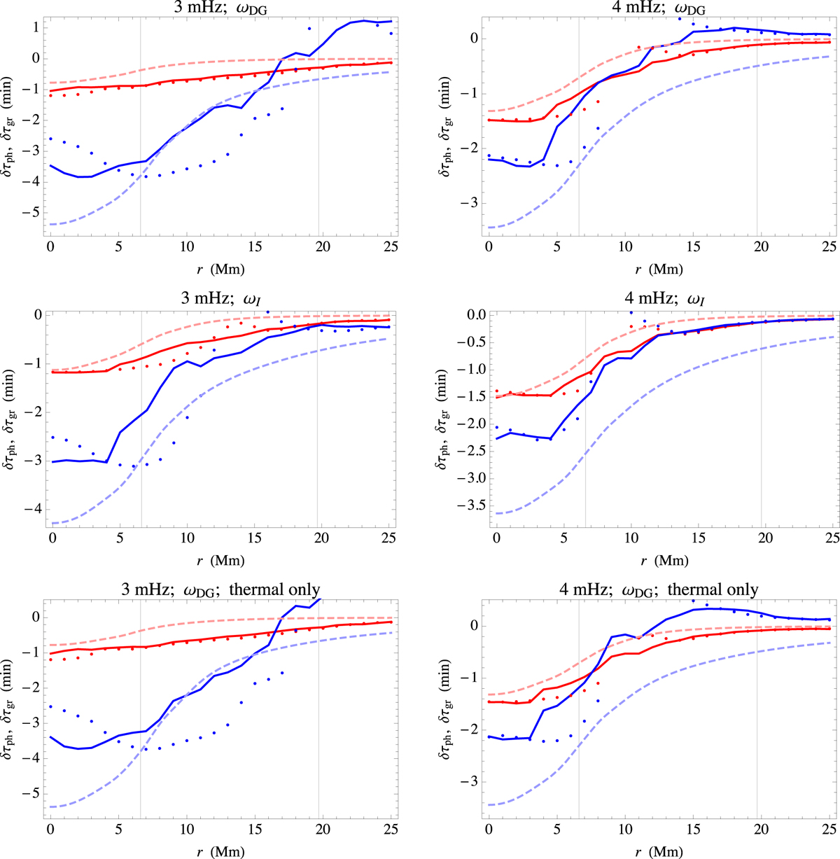
Fig. 7

image

Phase (red) and group (envelope, blue) travel time differences, azimuthally averaged, as functions of radius r of the true (dots) or mid-point-inferred (full curves) middle skip points. Left column: 3 mHz; right column: 4 mHz. Top row: full magnetic sunspot model using ωc = ωDG; second row: full magnetic sunspot model using ωc = ωI; third row: “thermal spot” with the same thermal and density structure, but with magnetic field artificially suppressed. All points were binned to 1 Mm2 squares and averaged both by bin and azimuthally. All data presented here have been pre-filtered to remove any rays with second skip distance outside the range times the first skip distance, or second skip direction more than 20° from the first skip direction. The fraction of points deleted by this pre-filtering for the six panels is (0.023, 0.140, 0.122, 0.143, 0.025, 0.129). The dashed red and blue curves represent, respectively, the equivalent phase and group speed thermal depths of the Wilson depression; see text for details. The grey vertical lines represent the umbral and penumbral boundaries.

Current usage metrics show cumulative count of Article Views (full-text article views including HTML views, PDF and ePub downloads, according to the available data) and Abstracts Views on Vision4Press platform.

Data correspond to usage on the plateform after 2015. The current usage metrics is available 48-96 hours after online publication and is updated daily on week days.

Initial download of the metrics may take a while.