Free Access

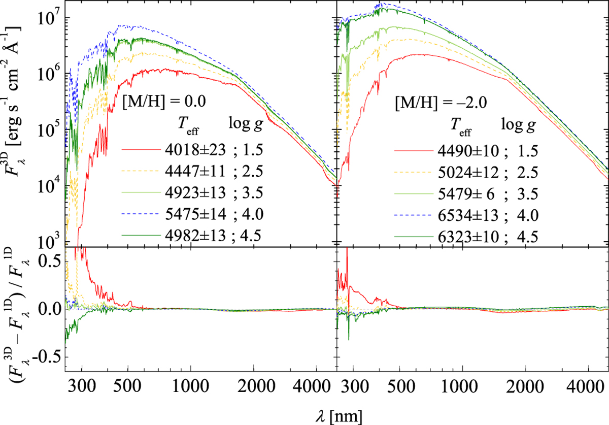
Fig. 4

image

Top: SEDs corresponding to the 3D hydrodynamical CO5BOLD models listed in Table 1. Bottom: relative flux difference between the SEDs computed using 3D hydrodynamical CO5 BOLD and 1D hydrostatic LHD model atmospheres. Left panels: [M∕H] = 0.0; right panels: [M∕H] = −2.0.

Current usage metrics show cumulative count of Article Views (full-text article views including HTML views, PDF and ePub downloads, according to the available data) and Abstracts Views on Vision4Press platform.

Data correspond to usage on the plateform after 2015. The current usage metrics is available 48-96 hours after online publication and is updated daily on week days.

Initial download of the metrics may take a while.