Open Access

Fig. 2

image

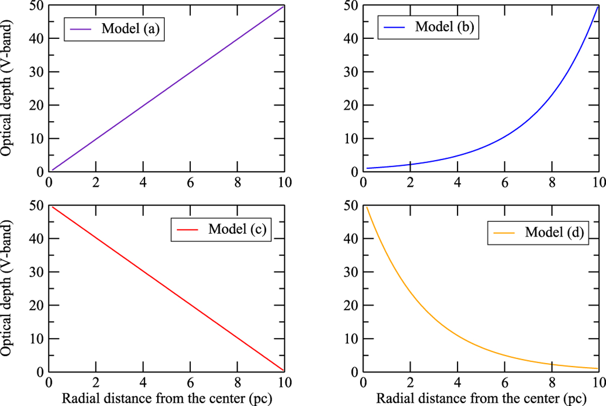
Theoretical dust distributions corresponding to heterogeneously filled dust disks. Each model is color-coded and shows a different variation of the radial optical depth (in the V band) with increasing distance from the central source. Details are given in the text.

Current usage metrics show cumulative count of Article Views (full-text article views including HTML views, PDF and ePub downloads, according to the available data) and Abstracts Views on Vision4Press platform.

Data correspond to usage on the plateform after 2015. The current usage metrics is available 48-96 hours after online publication and is updated daily on week days.

Initial download of the metrics may take a while.