Open Access

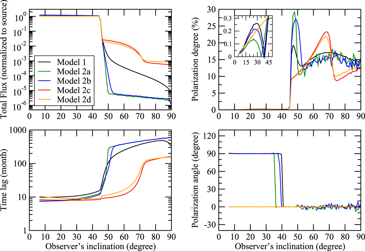
Fig. 3

image

Near-infrared (10 000 Å) total flux (normalized to the source emission), polarization degree, polarization angle, and time lag (normalized to the size of the disk) as a function of the inclination of the observer. Five plain flared disk models withvarious dust distributions are presented (see Sect. 2.1 for details).

Current usage metrics show cumulative count of Article Views (full-text article views including HTML views, PDF and ePub downloads, according to the available data) and Abstracts Views on Vision4Press platform.

Data correspond to usage on the plateform after 2015. The current usage metrics is available 48-96 hours after online publication and is updated daily on week days.

Initial download of the metrics may take a while.