Press Release
Free Access

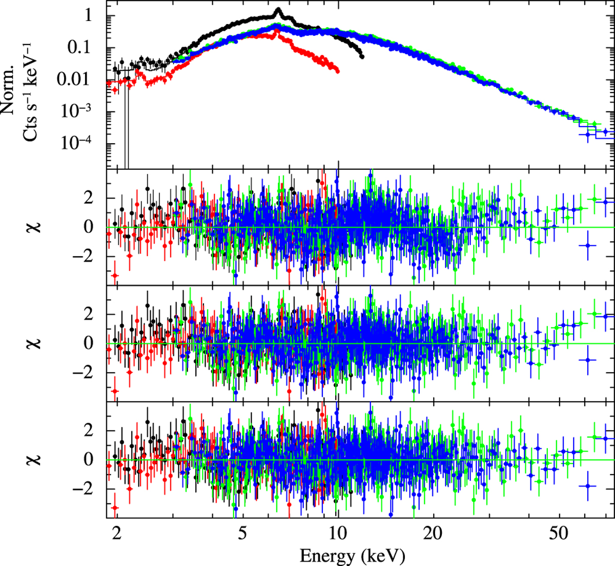
Fig. 12

image

Same as Fig. 11 but in the case of the best fit model obtained with a combination of a partial covering, a hot BBODYRAD, and a COMPTT component (plus the three Gaussians at 6.4, 7.1, and 2.3 keV). The residuals in the second panel from the top correspond to the case in which no GABS is included in the fit, while those in the third panel from the top show the improvement obtained by including in the fit an absorption feature around 21 keV. The bottom panel shows the residuals from the best fit, where a possible second absorption component around 40 keV was included in the model as well.

Current usage metrics show cumulative count of Article Views (full-text article views including HTML views, PDF and ePub downloads, according to the available data) and Abstracts Views on Vision4Press platform.

Data correspond to usage on the plateform after 2015. The current usage metrics is available 48-96 hours after online publication and is updated daily on week days.

Initial download of the metrics may take a while.