Press Release
Free Access

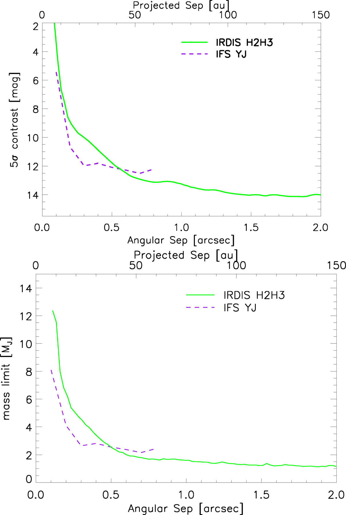
Fig. D.1

image

5σ contrast curves and companion mass limits derived for IFS (dashed line) and for IRDIS H2H3 (solid line) using PCA reduction method and TLOCI reduction method, respectively, both after the brightest CCs subtraction as described in Appendix C.1.

Current usage metrics show cumulative count of Article Views (full-text article views including HTML views, PDF and ePub downloads, according to the available data) and Abstracts Views on Vision4Press platform.

Data correspond to usage on the plateform after 2015. The current usage metrics is available 48-96 hours after online publication and is updated daily on week days.

Initial download of the metrics may take a while.