Press Release
Free Access

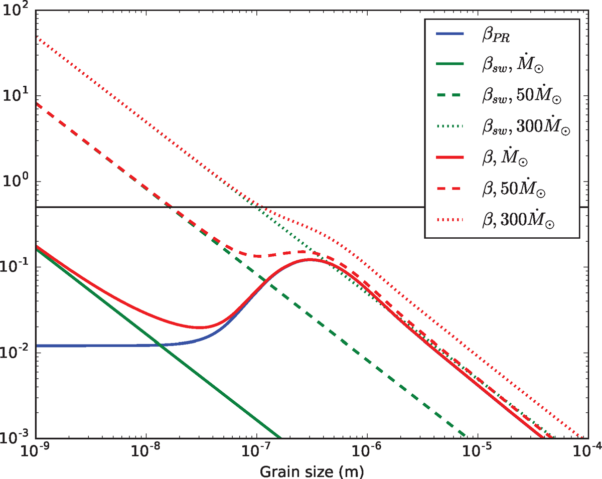
Fig. 5

image

β as a functionof grain size. The material used for βPR is M1 of Schüppler et al. (2015). Three hypotheses for the mass-loss rate of the star are shown (solid, dashed, and dotted lines). The horizontal solid black line is the upper limit for bound trajectories assuming zero eccentricity for the parent body, see Sezestre et al. (2017) for further details.

Current usage metrics show cumulative count of Article Views (full-text article views including HTML views, PDF and ePub downloads, according to the available data) and Abstracts Views on Vision4Press platform.

Data correspond to usage on the plateform after 2015. The current usage metrics is available 48-96 hours after online publication and is updated daily on week days.

Initial download of the metrics may take a while.