Free Access

Fig. 1

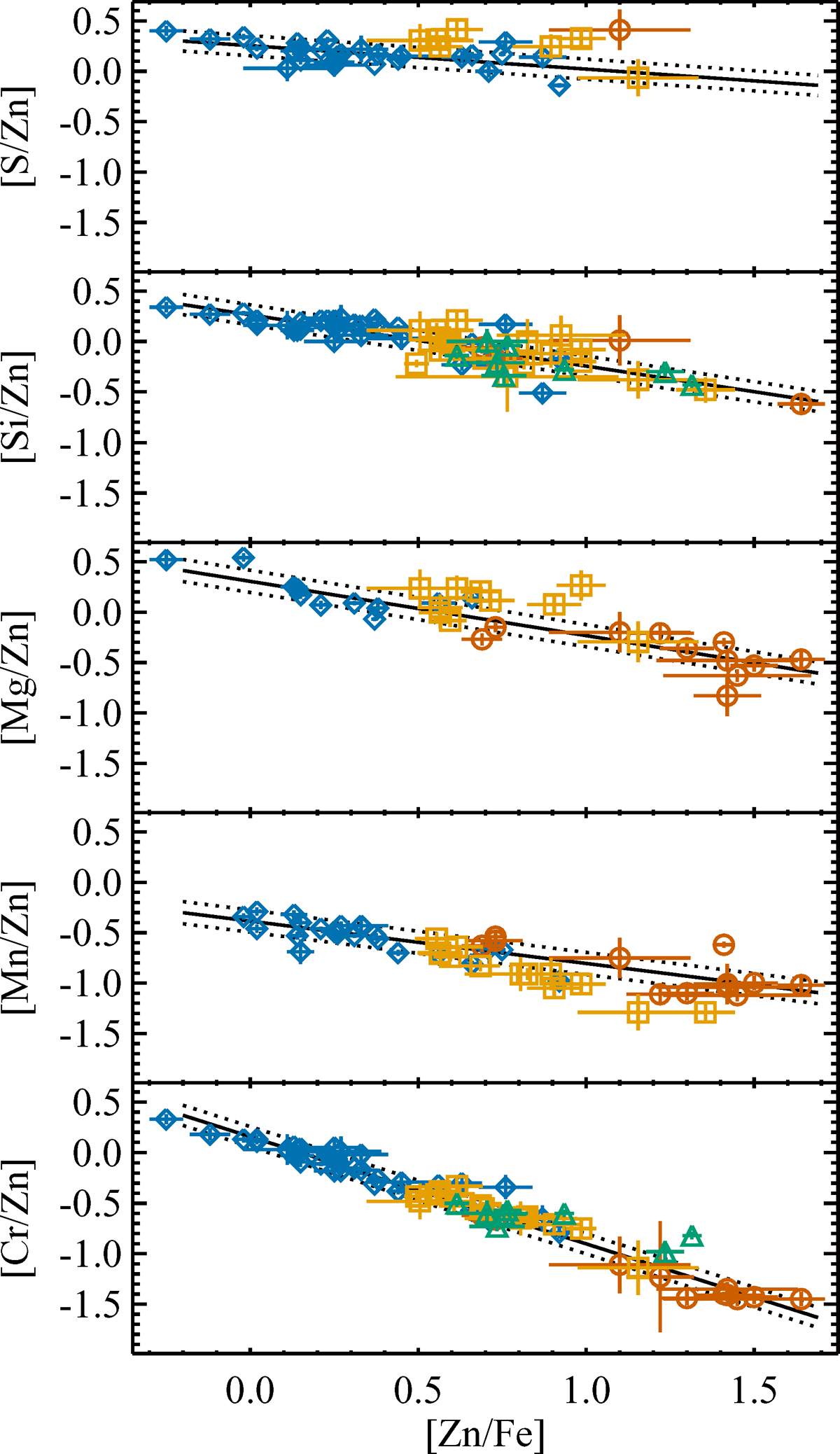
image

Relative abundances observed in the Galaxy (orange circles, Jenkins 2009), SMC (yellow squares, Tchernyshyov et al. 2015; Jenkins & Wallerstein 2017), LMC (green triangles, Tchernyshyov et al. 2015), and DLAs (blue diamonds, De Cia et al. 2016). The [Zn/Fe] is a proxy for the dust content, while the [X/Zn] traces the dust depletion of element X. The solid lines are from De Cia et al. (2016) and were derived from a linear fit to the Galactic and DLA data, not including the Magellanic Clouds, where the intrinsic scatter is marked by the dotted lines.

Current usage metrics show cumulative count of Article Views (full-text article views including HTML views, PDF and ePub downloads, according to the available data) and Abstracts Views on Vision4Press platform.

Data correspond to usage on the plateform after 2015. The current usage metrics is available 48-96 hours after online publication and is updated daily on week days.

Initial download of the metrics may take a while.