Free Access

Fig. 1

image

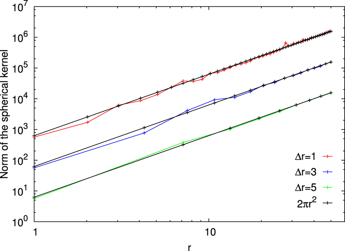
Normalization of the spherical kernel (Eq. (3)) as a function of the 3D radius r for three choices of binning in r and discretized values of s1 and s2. In red for a linear binning of Δr = 1; in blue for a linear binning of Δr = 3 and in green for a linear binning of Δr = 5. These normalizations are compared to the results of Eq. (3) in the case of continuous values of s1 and s2, in black. For better visibility, the normalizations for Δr = 1 and Δr = 3 have been multiplied by 100 and 10, respectively.

Current usage metrics show cumulative count of Article Views (full-text article views including HTML views, PDF and ePub downloads, according to the available data) and Abstracts Views on Vision4Press platform.

Data correspond to usage on the plateform after 2015. The current usage metrics is available 48-96 hours after online publication and is updated daily on week days.

Initial download of the metrics may take a while.