Free Access

Fig. 2

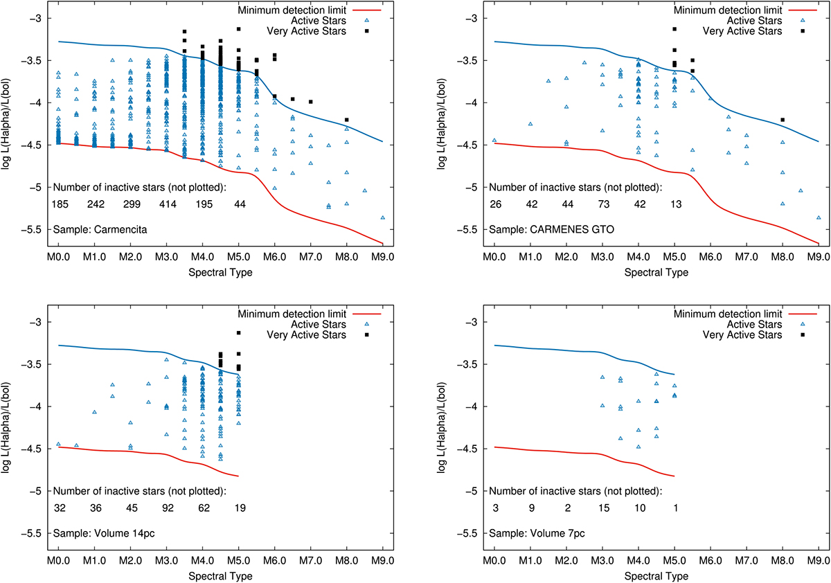
image

Normalised Hα luminosities as a function of spectral type for the M dwarfs contained in the Carmencita catalogue (upper left), CARMENES GTO target sample (upper right), 14 pc sample (lower left) and 7 pc sample (lower right). The red line indicates the values of emission that our observations are sensitive to as a function of spectral type, which is defined as pEW () = −0.5Å. Stars with values greater than this are considered to be Hα inactive stars. The values below the minimum detectable emission, or Hα inactive stars, are not shown on the plot, but instead the total number of Hα inactive stars is shown. Also indicated is a population of extremely Hα active stars that are defined as having pEW(Hα) < −8.0Å, which are only visible at later spectral types (solid blue line).

Current usage metrics show cumulative count of Article Views (full-text article views including HTML views, PDF and ePub downloads, according to the available data) and Abstracts Views on Vision4Press platform.

Data correspond to usage on the plateform after 2015. The current usage metrics is available 48-96 hours after online publication and is updated daily on week days.

Initial download of the metrics may take a while.