Free Access

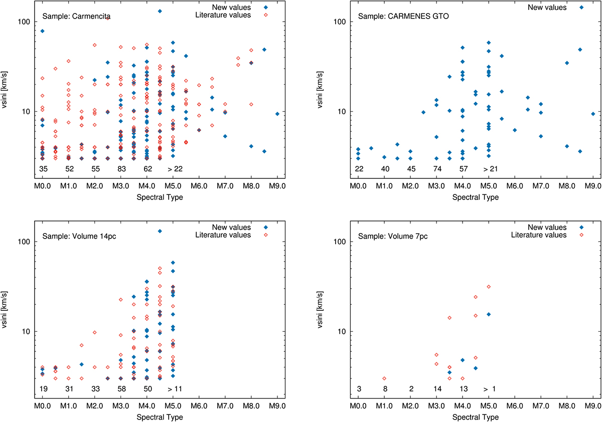
Fig. 5

image

Projected rotational velocity (vsini) as a function of spectral type for the M dwarfs contained in the Carmencita catalogue (upper left), the CARMENES GTO target sample (upper right), the Volume 14 sample (lower left) and the Volume 7 sample (lower right). The minimum value plotted is 3 km s−1. The total number of vsini values not plotted are shown at the bottom of each plot. All v sin i values in the CARMENES GTO sample are new measurements.

Current usage metrics show cumulative count of Article Views (full-text article views including HTML views, PDF and ePub downloads, according to the available data) and Abstracts Views on Vision4Press platform.

Data correspond to usage on the plateform after 2015. The current usage metrics is available 48-96 hours after online publication and is updated daily on week days.

Initial download of the metrics may take a while.