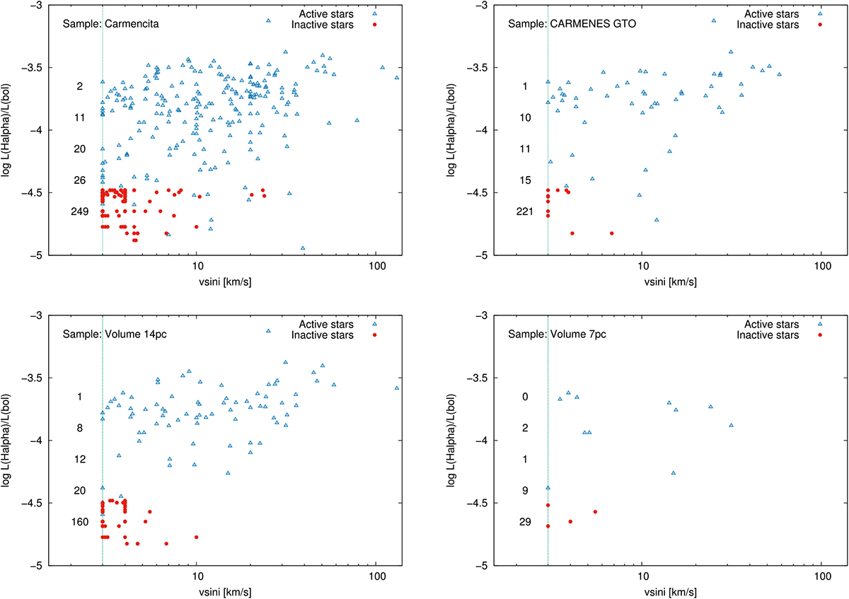
Fig. 7
Distribution of normalised Hα luminosity as a function of vsini showing the distribution for the M dwarfs contained in the Carmencita catalogue (upper left), CARMENES GTO target sample (upper right), the Volume 14 sample (lower left) and the Volume 7 sample (lower right). Values of v sin i that are < 3 km s−1 are not shown and the number of points excluded are shown to the left of the dashed line. For Hα inactive stars, the value of LHα∕Lbol where the numbers are placed in the figures are at the LHα∕Lbol values that correspond to the detection limit of pEW(Hα) = −0.5Å.
Current usage metrics show cumulative count of Article Views (full-text article views including HTML views, PDF and ePub downloads, according to the available data) and Abstracts Views on Vision4Press platform.
Data correspond to usage on the plateform after 2015. The current usage metrics is available 48-96 hours after online publication and is updated daily on week days.
Initial download of the metrics may take a while.