Free Access

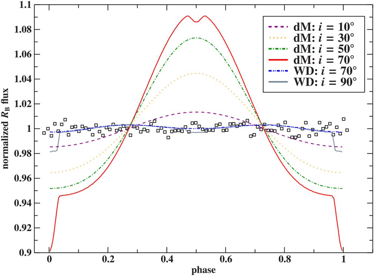
Fig. 1

image

Different light-curve models showing the typical light variations of hot subdwarf binaries superimposed by a typical non-detection light curve of the photometric Muchfuss follow-up. All light-curvemodels were calculated with the MORO code (Drechsel et al. 1995) in photometric band RB . We calculated models of a sdB+dM system with the parameters of HW Vir (see Table C.1) representing a typical HW Virginis system at different inclinations showing the reflection effect and of a sdB binary system with a low-mass WD with the same period and RV semi-amplitude at 90° and 70°. Variations in the light-curve of the sdB+WD systems are due to ellipsoidal deformation of the sdB.

Current usage metrics show cumulative count of Article Views (full-text article views including HTML views, PDF and ePub downloads, according to the available data) and Abstracts Views on Vision4Press platform.

Data correspond to usage on the plateform after 2015. The current usage metrics is available 48-96 hours after online publication and is updated daily on week days.

Initial download of the metrics may take a while.