Free Access

Fig. 3

image

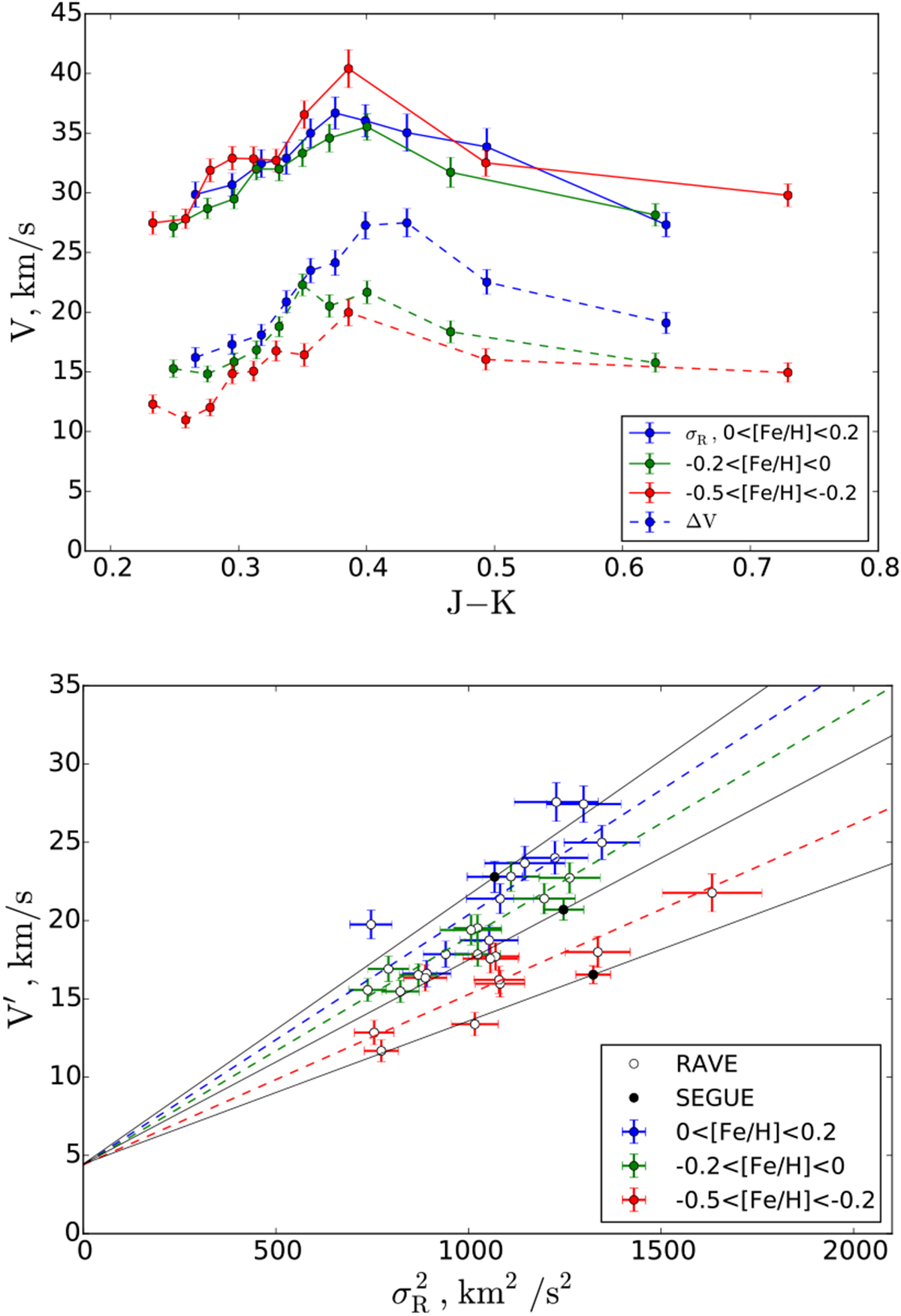
Recalculation and consistency check of the asymmetric drift correction for the RAVE and local SEGUE data samples. The RAVE data are recalculated using the improved distances from McMillan et al. (2018) and UCAC5 proper motions. Top panel: σR and ΔV as functionsof (J–K) 2MASS colour for different metallicity bins (compare to Fig. 2 in Golubov et al. 2013). Bottom panel: V ′ as a functionof in view of the new Strömberg relation (Eqs. (8) and (9)) for each metallicity bin. The data points for the local G-dwarfs of SEGUE are added as full circles. The metallicity binning for RAVE and SEGUE data is identical and has the same colour coding. Only stars with 7.5 kpc < R < 8.5 kpc and in the case of SEGUE with |z| < 1.5 kpc are selected for the plot. Dashed colour-coded lines are the linear least squares fit to the RAVE data. Black solid lines are added to readout the radial scale lengths corresponding to the positions of the SEGUE points and the value of V determined from RAVE. Here and later on the error bars are calculated using the observational errors.

Current usage metrics show cumulative count of Article Views (full-text article views including HTML views, PDF and ePub downloads, according to the available data) and Abstracts Views on Vision4Press platform.

Data correspond to usage on the plateform after 2015. The current usage metrics is available 48-96 hours after online publication and is updated daily on week days.

Initial download of the metrics may take a while.