Free Access

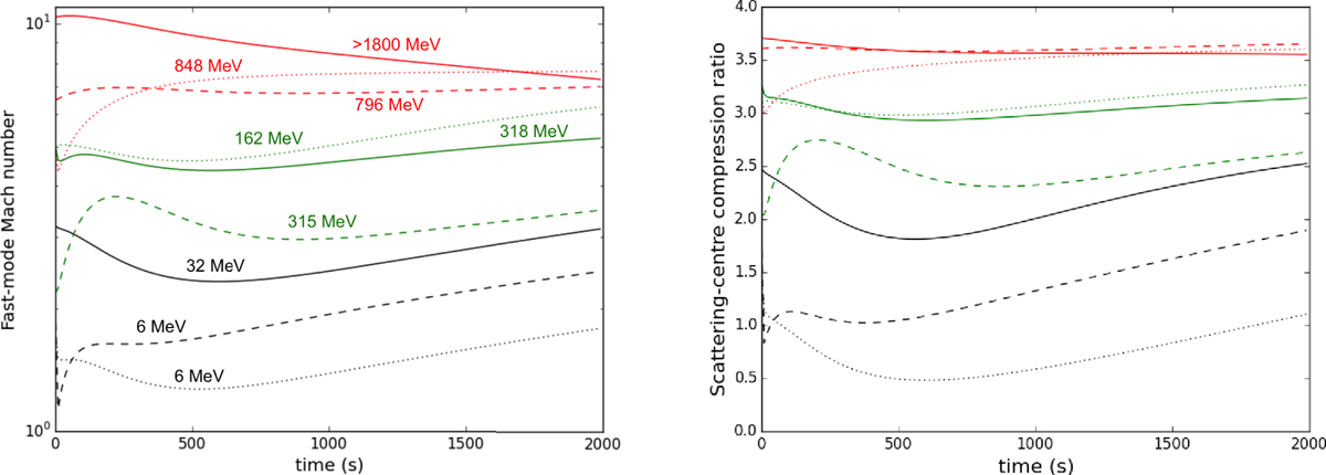
Fig. 4

image

Left panel: fast-mode Mach number of the shock versus simulation time for nine magnetic field lines for which proton acceleration simulations with CSA were performed. The black curves show the results for field lines belonging to the weakshock group of field lines, green curves to the moderate shock group, and red curves to the strong shock group (see text for details). Numbers provide the absolute maximum proton energies attained in the simulations. The total simulation time was 2000 s in all the cases except the most resource-demanding case (corresponding to red solid curve), in which it was 820 s. Right panel: scattering-centre compression ratio vs. simulation time for the corresponding field lines.

Current usage metrics show cumulative count of Article Views (full-text article views including HTML views, PDF and ePub downloads, according to the available data) and Abstracts Views on Vision4Press platform.

Data correspond to usage on the plateform after 2015. The current usage metrics is available 48-96 hours after online publication and is updated daily on week days.

Initial download of the metrics may take a while.