Free Access

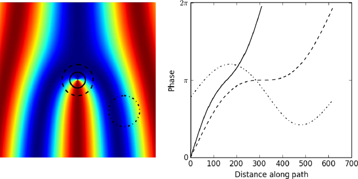
Fig. 1.

image

Left: a scalar wave carrying a dislocation is imaged as the real part of the function (y + ix)eix in the plane (x, y). Only a zoom over the region around the dislocation is shown. Three monodromies are drawn, two as circumferences centred at the dislocation and one that does not enclose it. The phase change along these paths is 2π if the singularity is enclosed, but zero if it is not. Right: the phase along the three monodromies. Because of its shorter length, the phase undergoes a more rapid change for the inner monodromy enclosing the dislocation.

Current usage metrics show cumulative count of Article Views (full-text article views including HTML views, PDF and ePub downloads, according to the available data) and Abstracts Views on Vision4Press platform.

Data correspond to usage on the plateform after 2015. The current usage metrics is available 48-96 hours after online publication and is updated daily on week days.

Initial download of the metrics may take a while.