Free Access

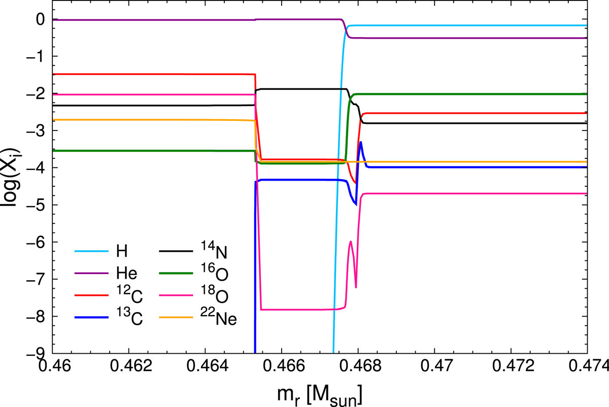
Fig. 5.

image

Typical chemical stratification below the H-rich envelope (at mr ≳ 0.468 M) during the main He-core flash for a model with initial chemical compositions of Z = 0.02 and Y = 0.285. The chemical inversions at about mr = 0.468 are a consequence of the H-shell burning.

Current usage metrics show cumulative count of Article Views (full-text article views including HTML views, PDF and ePub downloads, according to the available data) and Abstracts Views on Vision4Press platform.

Data correspond to usage on the plateform after 2015. The current usage metrics is available 48-96 hours after online publication and is updated daily on week days.

Initial download of the metrics may take a while.