Free Access

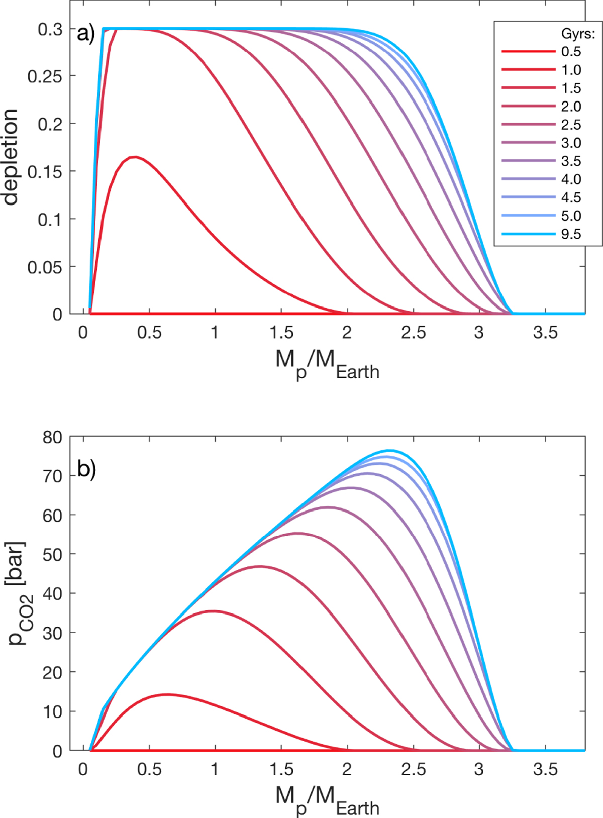
Fig. 19

image

Timedependence of a) mantle depletion and b) amount of outgassed CO2 as a function of planet mass (reference case). Depletion has been calculated with our analytical formulations in Sect. 6, and Eq. (12) was subsequently used to calculate the amount of outgassed CO2.

Current usage metrics show cumulative count of Article Views (full-text article views including HTML views, PDF and ePub downloads, according to the available data) and Abstracts Views on Vision4Press platform.

Data correspond to usage on the plateform after 2015. The current usage metrics is available 48-96 hours after online publication and is updated daily on week days.

Initial download of the metrics may take a while.