Free Access

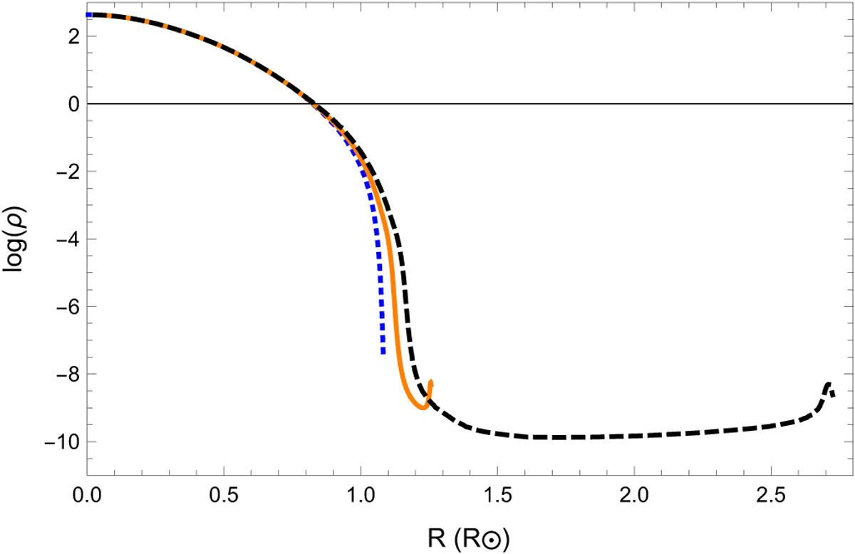
Fig. A.1

image

Density profiles in units of g cm−3 of a 15 M helium star model with different iron bump opacities. The blue dotted model is computed with the opacity table corresponding to a zero metallicity composition (i.e. without the iron opacity bump), the orange continuous model is computed with the opacity table corresponding to Z = 0.02, while the black dashed model is computed with the opacity table corresponding to Z = 0.05.

Current usage metrics show cumulative count of Article Views (full-text article views including HTML views, PDF and ePub downloads, according to the available data) and Abstracts Views on Vision4Press platform.

Data correspond to usage on the plateform after 2015. The current usage metrics is available 48-96 hours after online publication and is updated daily on week days.

Initial download of the metrics may take a while.