Free Access

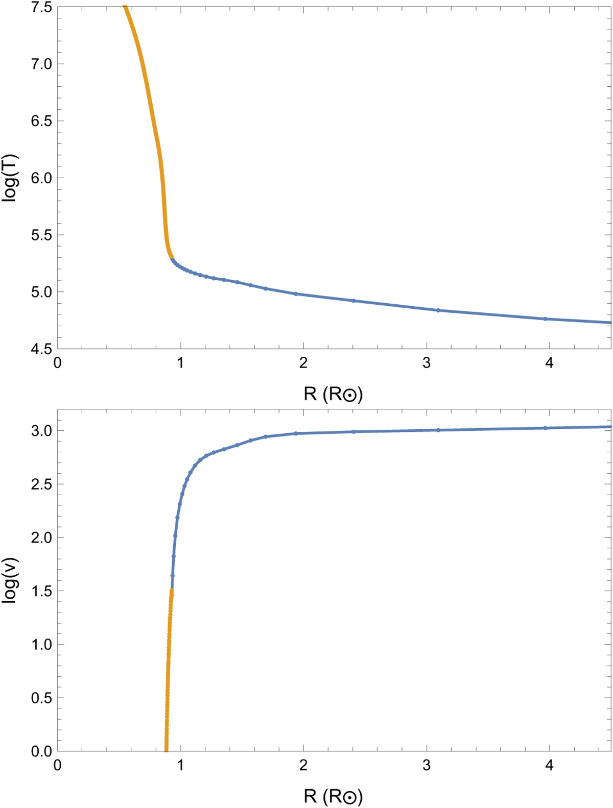
Fig. D.1

image

Temperature (in K) and velocity profile (in km s−1) as a function of radius for the WR111 stellar structure and wind model. The orange profile indicates the subsonic structure derived with our newly developed models, while the blue profile is the supersonic wind profile from Gräfener & Hamann (2005).

Current usage metrics show cumulative count of Article Views (full-text article views including HTML views, PDF and ePub downloads, according to the available data) and Abstracts Views on Vision4Press platform.

Data correspond to usage on the plateform after 2015. The current usage metrics is available 48-96 hours after online publication and is updated daily on week days.

Initial download of the metrics may take a while.