Free Access

Fig. 3

image

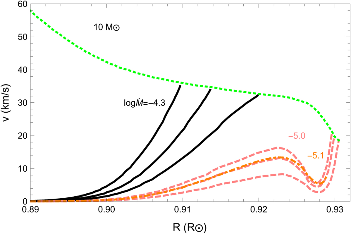
Velocity profile as a function of radius for a set of 10 M stellar models with different mass-loss rates (as in Fig. 1). The black continuous lines indicate models with ≥ 2 × 10−5 M yr−1 (2, 3, 5 × 10−5), while the pink dashed lines indicate models with ≤ 1 × 10−5 M yr−1 (5, 8, 10 × 10−6). The green dashed line and the orange dot-dashed line indicate the local isothermal sound speed of the model with = 5 × 10−6 M yr−1 and the plane parallel grey atmosphere model with = 8 × 10−6 M yr−1, respectively.

Current usage metrics show cumulative count of Article Views (full-text article views including HTML views, PDF and ePub downloads, according to the available data) and Abstracts Views on Vision4Press platform.

Data correspond to usage on the plateform after 2015. The current usage metrics is available 48-96 hours after online publication and is updated daily on week days.

Initial download of the metrics may take a while.