Free Access

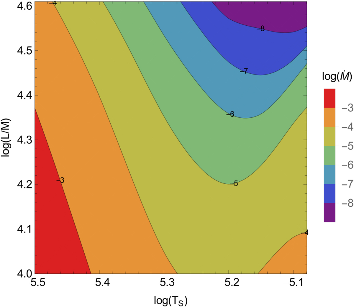
Fig. 6

image

Contour plot showing the mass-loss rate (colour-coded in units of M yr−1) as a function of sonic point temperature (in K) and of the luminosity-to-mass ratio (in L / M ) of a star. Contours are derived based on the OPAL tables for a chemical composition [X,Y,Z]=[0,0.98,0.02], with X hydrogen mass fraction, Y helium mass fraction, and Z metallicity.

Current usage metrics show cumulative count of Article Views (full-text article views including HTML views, PDF and ePub downloads, according to the available data) and Abstracts Views on Vision4Press platform.

Data correspond to usage on the plateform after 2015. The current usage metrics is available 48-96 hours after online publication and is updated daily on week days.

Initial download of the metrics may take a while.