Highlight
Free Access

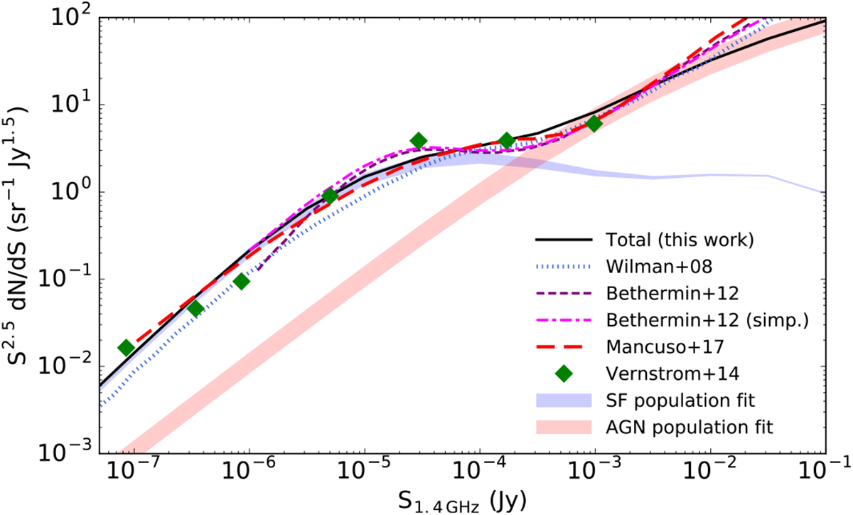
Fig. 3

image

Euclidean normalized radio source number counts drawn from LFs described in Sect. 3.2 compared to the literature values indicated in the legend. The shaded areas encompass the 3σ errors from the χ2 fits performed on individual populations.

Current usage metrics show cumulative count of Article Views (full-text article views including HTML views, PDF and ePub downloads, according to the available data) and Abstracts Views on Vision4Press platform.

Data correspond to usage on the plateform after 2015. The current usage metrics is available 48-96 hours after online publication and is updated daily on week days.

Initial download of the metrics may take a while.