Free Access

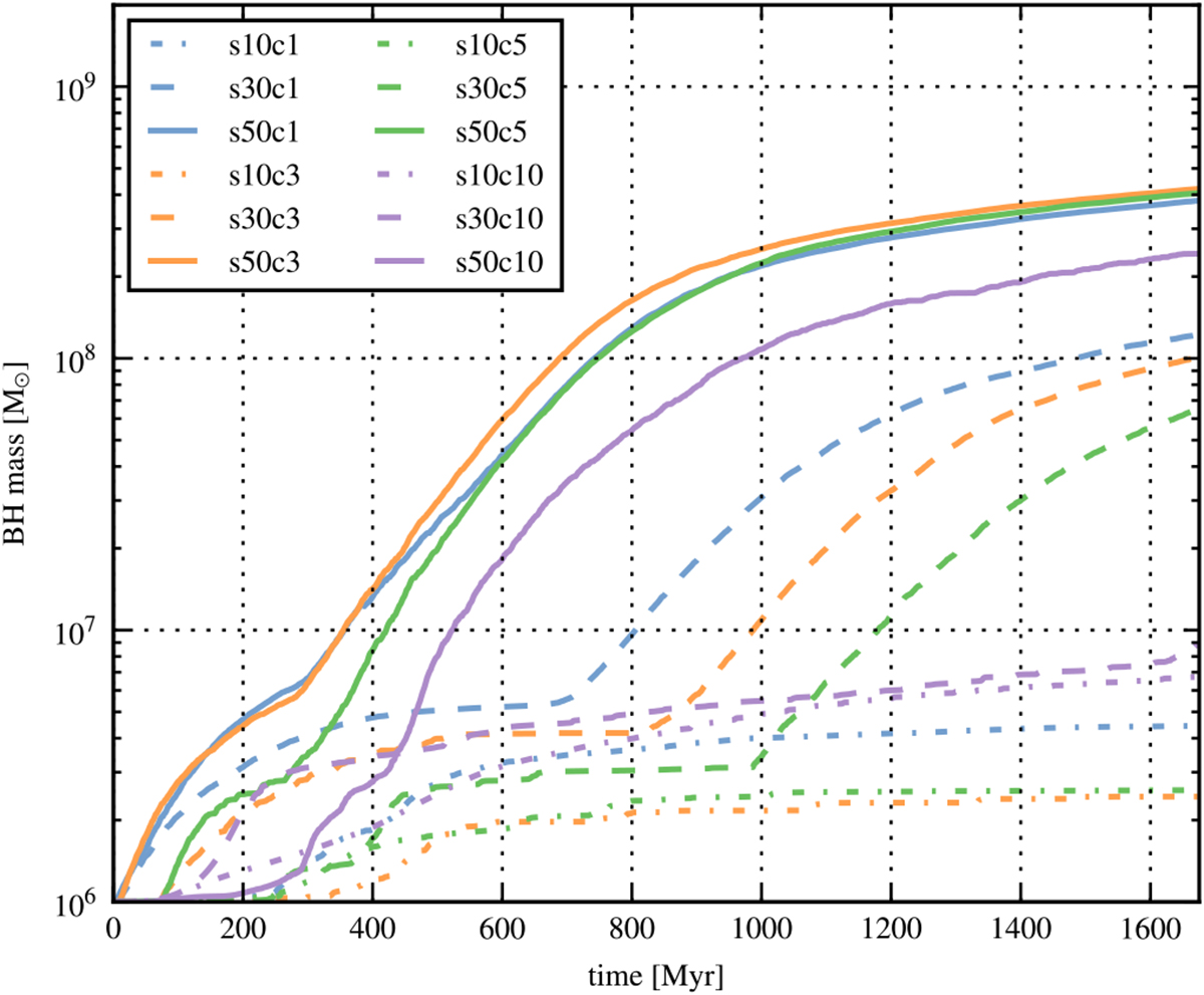
Fig. 4

image

Evolution of the black hole masses of all different parameter combinations in the isothermal simulations. We note that there are two very different accretion modes. The simulations with Σ0 = 30 M pc−2 show that the lower the speed of sound, the earlier the simulation switches to the strong accretion mode and the higher the final black hole mass is.

Current usage metrics show cumulative count of Article Views (full-text article views including HTML views, PDF and ePub downloads, according to the available data) and Abstracts Views on Vision4Press platform.

Data correspond to usage on the plateform after 2015. The current usage metrics is available 48-96 hours after online publication and is updated daily on week days.

Initial download of the metrics may take a while.