Free Access

Fig. 13

image

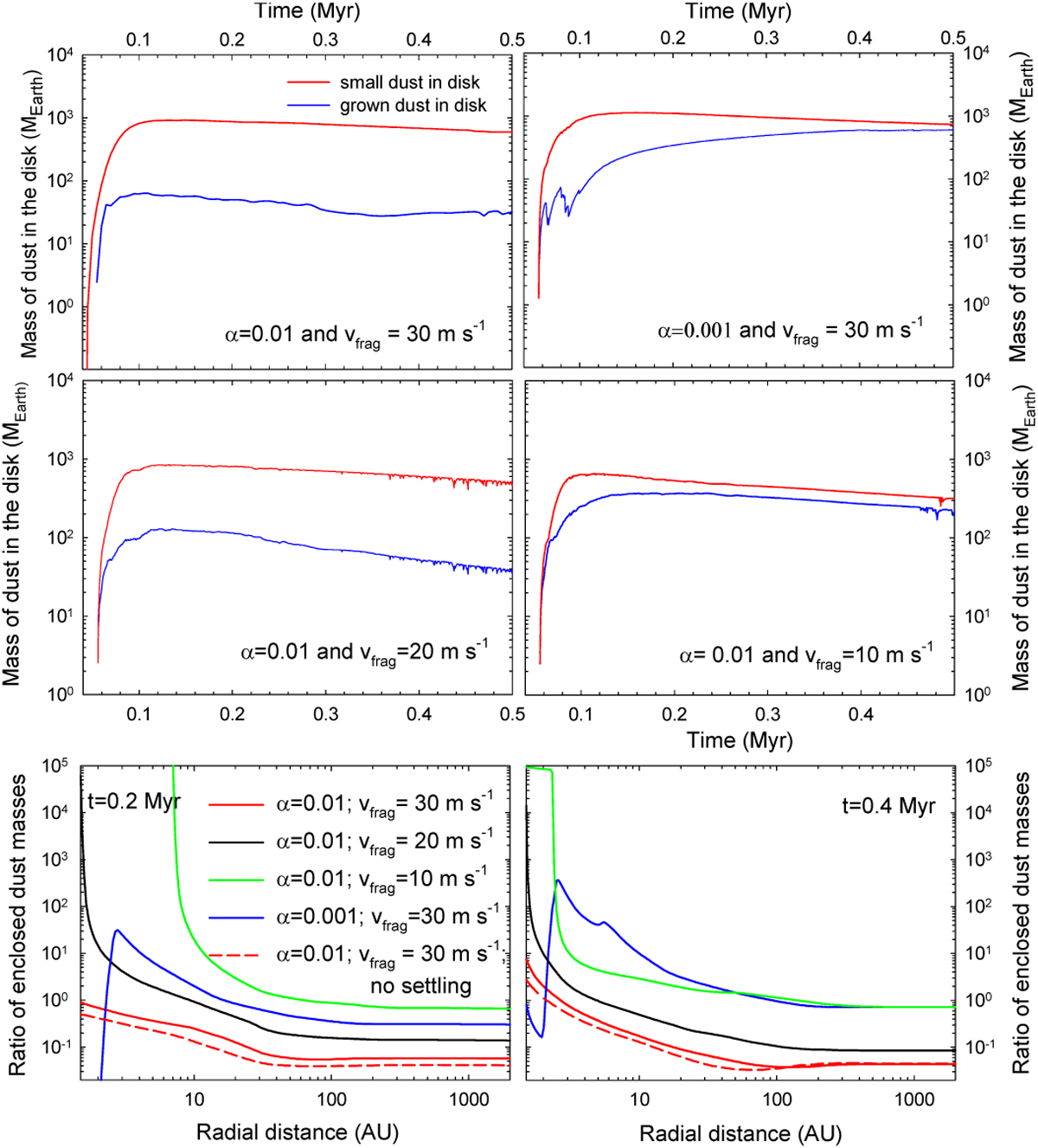
Parameter space study of dust mass in the disk. Top and middle rows: The mass of small and grown dust in the disk (the red and blue solid lines) as a function of time for the fiducial model (top left) and for models with varying free parameters as indicated in each panel. Bottom rows: The ratio of enclosed dust masses Md,gr (r)∕Md,sm(r) as a functionof radial distance r at two evolution times: t = 0.2 Myr and t =0.4 Myr, for the fiducial model and for models with varying free parameters.

Current usage metrics show cumulative count of Article Views (full-text article views including HTML views, PDF and ePub downloads, according to the available data) and Abstracts Views on Vision4Press platform.

Data correspond to usage on the plateform after 2015. The current usage metrics is available 48-96 hours after online publication and is updated daily on week days.

Initial download of the metrics may take a while.