Free Access

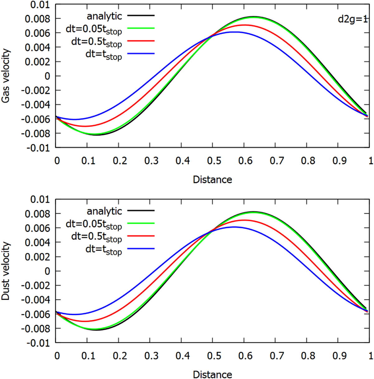
Fig. B.5

image

Solution of the dusty wave problem for a strong coupling between gas and dust (K = 1000) and a dust-to-gas ratio d2g = 1 at a time instance t = 0.5. The top panel shows the gas velocity, while the bottom panel shows the dust velocity. The color lines present numerical solutions obtained with different time steps d t, while the black line shows the analytical solution.

Current usage metrics show cumulative count of Article Views (full-text article views including HTML views, PDF and ePub downloads, according to the available data) and Abstracts Views on Vision4Press platform.

Data correspond to usage on the plateform after 2015. The current usage metrics is available 48-96 hours after online publication and is updated daily on week days.

Initial download of the metrics may take a while.