Free Access

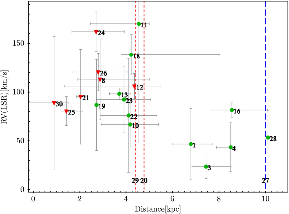
Fig. 6

image

Individual distance and radial velocity estimates for stars with spectroscopic observations. Objects are identified by the ID number from Table A.1, and massive stars are shown as green circles and late-type giants as red triangles. The vertical lines mark the distance estimates for the Wolf−Rayet stars (red line, objects 20 and 29) and the LBV (blue line, object 27). Only stars with assigned luminosity classes are included in the figure.

Current usage metrics show cumulative count of Article Views (full-text article views including HTML views, PDF and ePub downloads, according to the available data) and Abstracts Views on Vision4Press platform.

Data correspond to usage on the plateform after 2015. The current usage metrics is available 48-96 hours after online publication and is updated daily on week days.

Initial download of the metrics may take a while.