Free Access

Fig. 11

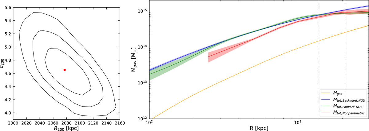
image

Left: contour plot with confidence regions at 1, 2, and 3σ (solid lines) applying the backward approach to solve HEE in order to constrain the parameters of the NFW mass model; using as inputs the multiscale technique on the median emissivityprofile to obtain the density, the pressure from the direct deprojection of the y-parameter radial profile, and the temperature from the spectral analysis. Right: gas mass and total mass profile recovered using the backward approach (blue and red curves, respectively). The black crosses represent the total mass profile obtained using a non-parametric method and the green cross that obtained by applying the forward method on temperature and density profiles. The dotted and dashed vertical line marks the position of R500 and R200, respectively.

Current usage metrics show cumulative count of Article Views (full-text article views including HTML views, PDF and ePub downloads, according to the available data) and Abstracts Views on Vision4Press platform.

Data correspond to usage on the plateform after 2015. The current usage metrics is available 48-96 hours after online publication and is updated daily on week days.

Initial download of the metrics may take a while.