Free Access

Fig. 1

image

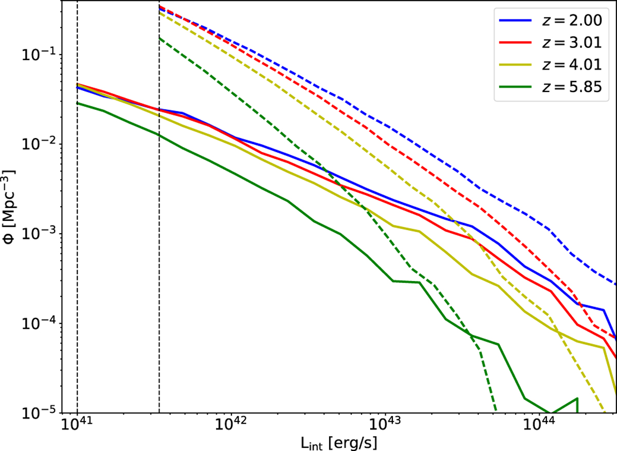
Intrinsic LAE luminosity function for different snapshots. Solid lines: fiducial model utilizing the SFR data from the Illustris simulation. Dashed lines: the model used by ZZ11 and BN13, for comparison. The vertical lines mark the cutoff in theLFs expected from the SFR/mass cuts chosen.

Current usage metrics show cumulative count of Article Views (full-text article views including HTML views, PDF and ePub downloads, according to the available data) and Abstracts Views on Vision4Press platform.

Data correspond to usage on the plateform after 2015. The current usage metrics is available 48-96 hours after online publication and is updated daily on week days.

Initial download of the metrics may take a while.