Free Access

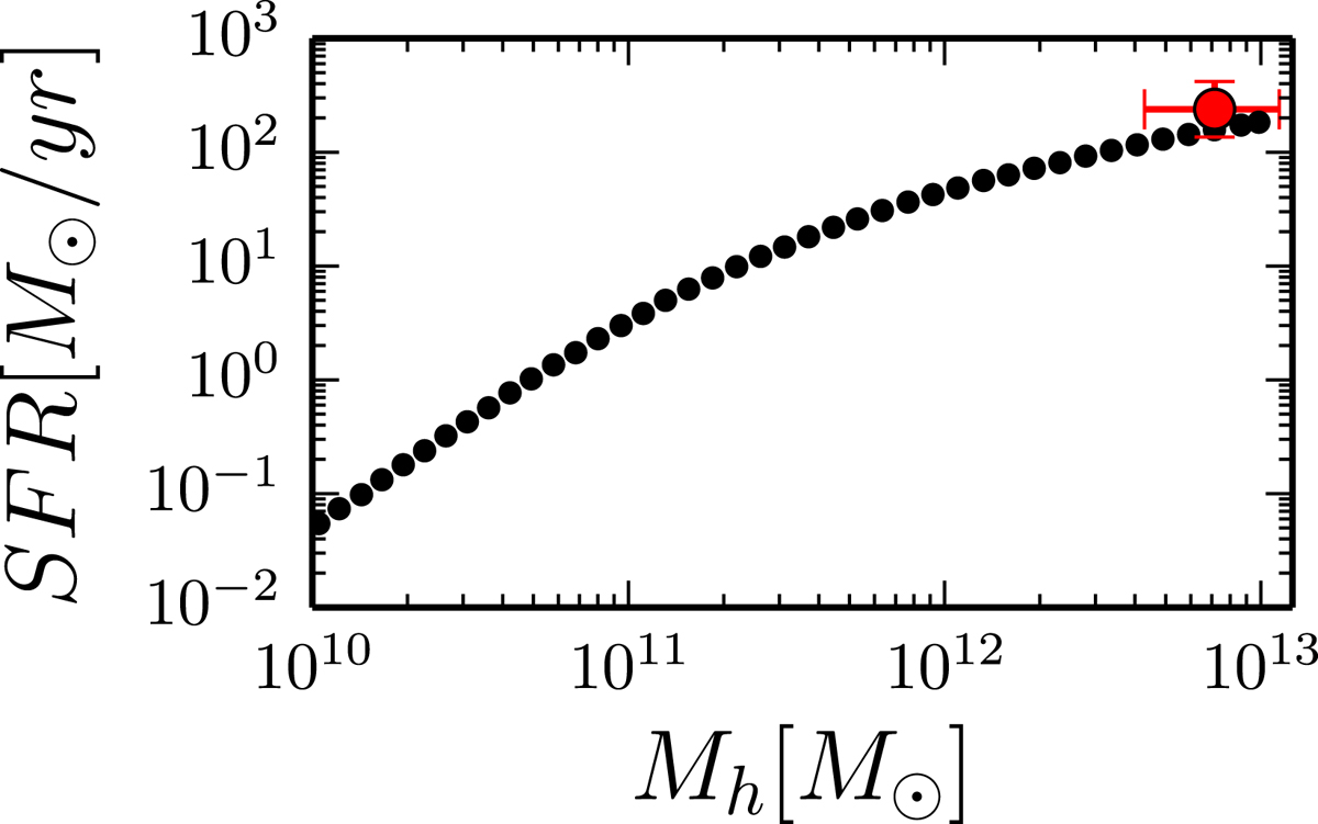
Fig. 10

image

SFR as a function of host halo mass. The Mashian et al. (2016) calibration at z ~ 4 is given as a dotted curve. Our bias-based halo mass estimate at z ~ 4 and the estimated SFR for the corresponding magnitude bin are given as a red point.

Current usage metrics show cumulative count of Article Views (full-text article views including HTML views, PDF and ePub downloads, according to the available data) and Abstracts Views on Vision4Press platform.

Data correspond to usage on the plateform after 2015. The current usage metrics is available 48-96 hours after online publication and is updated daily on week days.

Initial download of the metrics may take a while.