Free Access

Fig. 12

image

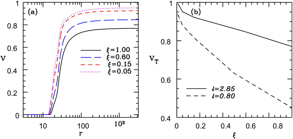
Panel a: v as a functionof r for jets actedon by disc radiation marked by ξ = 1.0 (solid black line); ξ = 0.6 (long-dashed blue line), ξ = 0.15 (dashed red line) and ξ = 0.05 (dotted magenta line). The disc radiation is for = 2.85. Panel b: variation of vT with ξ for “f”-type jets, driven by radiation quantified by = 2.85 (solid line) and = 0.8 (dashed line).

Current usage metrics show cumulative count of Article Views (full-text article views including HTML views, PDF and ePub downloads, according to the available data) and Abstracts Views on Vision4Press platform.

Data correspond to usage on the plateform after 2015. The current usage metrics is available 48-96 hours after online publication and is updated daily on week days.

Initial download of the metrics may take a while.