Free Access

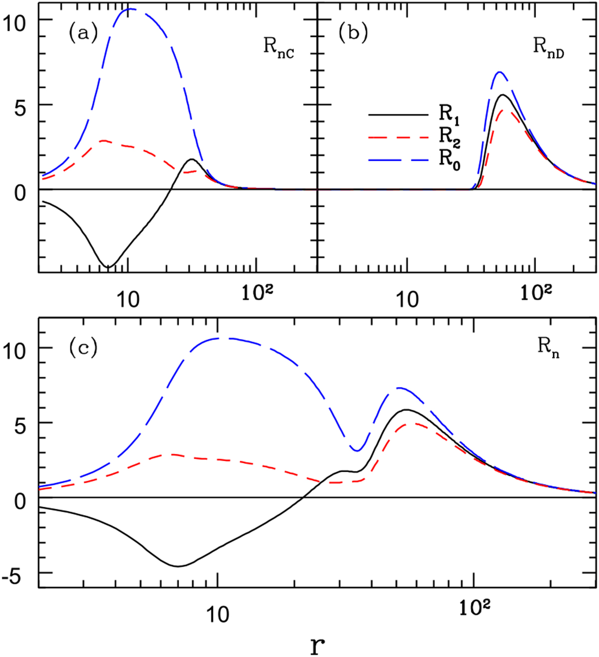
Fig. 2

image

Distribution of radiative moments-energy density R0 (long dashedblue line), flux R1 (solid black line) and pressure R2 (dashed red line) with r above an accretion disc with = 10. Radiative moments produced by various components of the disc, for example, (a) from corona RnC; (b) from outer disc RnD and (c) total radiative moments Rn.

Current usage metrics show cumulative count of Article Views (full-text article views including HTML views, PDF and ePub downloads, according to the available data) and Abstracts Views on Vision4Press platform.

Data correspond to usage on the plateform after 2015. The current usage metrics is available 48-96 hours after online publication and is updated daily on week days.

Initial download of the metrics may take a while.