Free Access

Fig. 7

image

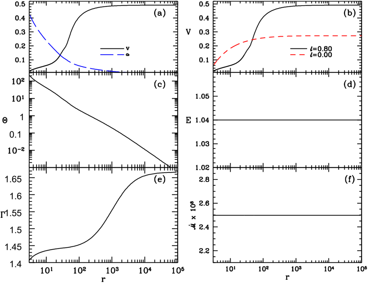
Panel a: three-velocity v (solid black line) and sound speed a (long dashedblue line) as functions of r. Panel b: comparison of velocity distribution of thermally driven or = 0 jet (dashed red line) and the radiatively driven jet (solid black line); panel c: Θ;panel d: E; panel e: Γ and panel f: as a functionof r. All the plots are for E = 1.04 and radiatively driven jet is for = 0.8.

Current usage metrics show cumulative count of Article Views (full-text article views including HTML views, PDF and ePub downloads, according to the available data) and Abstracts Views on Vision4Press platform.

Data correspond to usage on the plateform after 2015. The current usage metrics is available 48-96 hours after online publication and is updated daily on week days.

Initial download of the metrics may take a while.