Free Access

Fig. 9

image

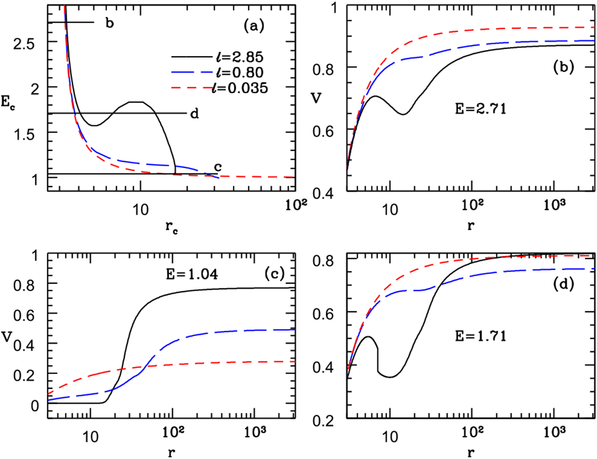
Panel a: Ecrc plot with energy levels marked as “b” at E = 2.71, “c” at E = 1.04 and “d” at E = 1.7. Panel b: comparison of three-velocity v as a functionof r of jets starting with E = 2.71. Panel c: comparison of v for “f”-type jets with E = 1.04; and, panel d:comparison of v for jets with E = 1.7. Each curve corresponds to = 2.85 (solid black line), 0.8 (long dashedblue line) and 0.035 (dashed red line). The composition of the jet is ξ = 1 or e −p+.

Current usage metrics show cumulative count of Article Views (full-text article views including HTML views, PDF and ePub downloads, according to the available data) and Abstracts Views on Vision4Press platform.

Data correspond to usage on the plateform after 2015. The current usage metrics is available 48-96 hours after online publication and is updated daily on week days.

Initial download of the metrics may take a while.