Open Access

Fig. 5

image

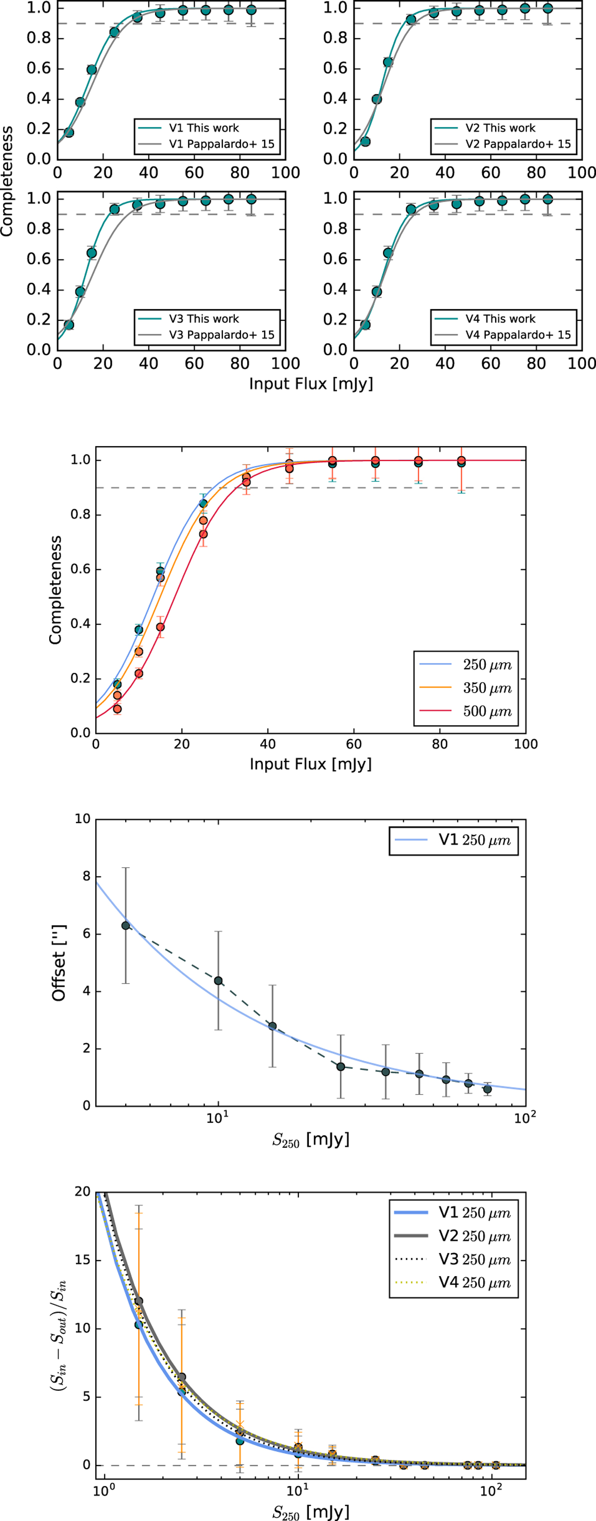
For the HeViCS fields: Completeness at 250 μm band compared to Pappalardo et al. (2015), SPIRE completeness for the V1 field, positional accuracy (average radial offset), and flux boosting (the flux difference as a function of input flux) are shown from top to bottom. Simulated (input) flux Sin is plotted on the x-axis for all subplots, while Sout refers to observed flux.

Current usage metrics show cumulative count of Article Views (full-text article views including HTML views, PDF and ePub downloads, according to the available data) and Abstracts Views on Vision4Press platform.

Data correspond to usage on the plateform after 2015. The current usage metrics is available 48-96 hours after online publication and is updated daily on week days.

Initial download of the metrics may take a while.