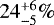
Table 8
A relative contribution of strongly lensed sources to 500 μm-risers selected in different studies (1).
| Median | Lensed | Lensed | |
|---|---|---|---|
| S500 [mJy] | [observed] | [modelled (B17)] | |
| H-ATLAS | 45 ± 14 | ||
| HeLMS | 78 ± 19 | ||
| HerMES | 47 ± 9 | ||
| This work | 38 ± 4 | – |
Notes. Flux distribution of 500 μm-risers from this work compared to 44 red DSFGs presented in Oteo et al. (2017b). These are H -ATLAS, HerMES, and HeLMS sub-samples observed with ALMA and NOEMA at 870 μm, 1 mm, and 3 mm (Oteo et al. 2017b; Fudamoto et al. 2017). The second column shows median 500 μm fluxes along with the median 500 μm flux from this work. The relative contribution of observed, strongly lensed sources in various selections is shown in the third column. The fourth column shows the relative contribution of modelled, strongly lensed sources from B17. A relative contribution of strongly lensed sources is modelled applying the same selection cuts of 500 μm-risers for tabulated extragalactic fields.
Current usage metrics show cumulative count of Article Views (full-text article views including HTML views, PDF and ePub downloads, according to the available data) and Abstracts Views on Vision4Press platform.
Data correspond to usage on the plateform after 2015. The current usage metrics is available 48-96 hours after online publication and is updated daily on week days.
Initial download of the metrics may take a while.