Free Access

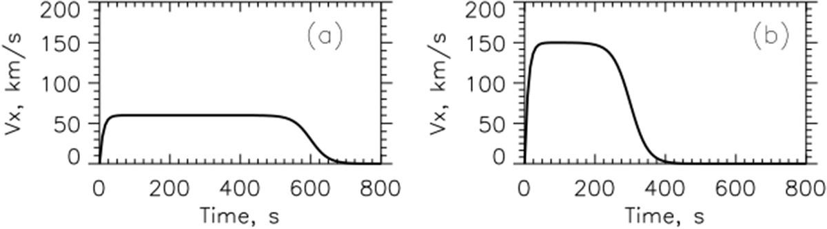
Fig. 3

image

Velocity profiles of the wave driver acting at the left boundary of the computational box. Panel a corresponds to the wave profile used for the coronal hole model and panel b corresponds to the wave profile used for the coronal plume model.

Current usage metrics show cumulative count of Article Views (full-text article views including HTML views, PDF and ePub downloads, according to the available data) and Abstracts Views on Vision4Press platform.

Data correspond to usage on the plateform after 2015. The current usage metrics is available 48-96 hours after online publication and is updated daily on week days.

Initial download of the metrics may take a while.