Free Access

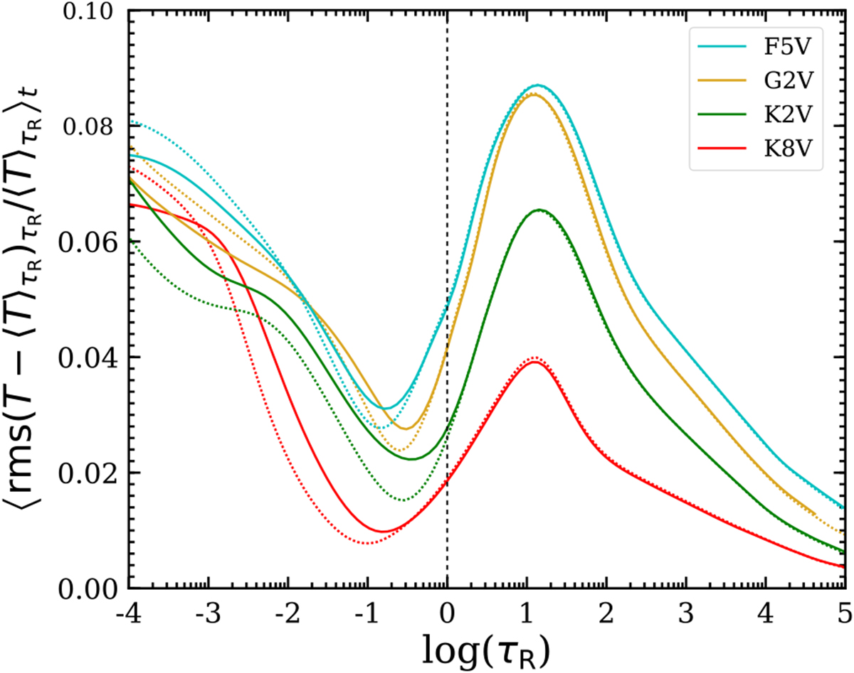
Fig. 2

image

Root mean square of the relative temperature fluctuation over iso-τR surfaces as a function of Rosseland optical depth, τR of the four models of different spectral types. Solid curves refer to the magnetic models, dotted curves to the field-free models. The rms is computed as in Eq. (3), where Ibol is replaced by the temperature T(τR).

Current usage metrics show cumulative count of Article Views (full-text article views including HTML views, PDF and ePub downloads, according to the available data) and Abstracts Views on Vision4Press platform.

Data correspond to usage on the plateform after 2015. The current usage metrics is available 48-96 hours after online publication and is updated daily on week days.

Initial download of the metrics may take a while.