Free Access

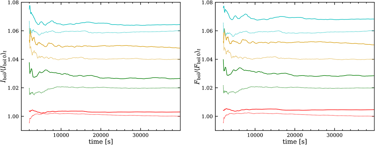
Fig. 7

image

Cumulative means according to Eq. (14). Left: cumulative mean of the bolometric radiative intensity, Eq. (13). Right: cumulative mean of the bolometric radiative flux, Eq. (12). The solid curves refer to the magnetic models and the dotted curves to the magnetic field-free models. For better visibility, successive pairs of curves are shifted by 0.02 in ordinate direction and the lowermost (red) curves are unshifted and refer to spectral type K8V. The subsequent, shifted curves refer (from bottom to top) to spectral types K2V (green), G2V (gold), and F5V (blue).

Current usage metrics show cumulative count of Article Views (full-text article views including HTML views, PDF and ePub downloads, according to the available data) and Abstracts Views on Vision4Press platform.

Data correspond to usage on the plateform after 2015. The current usage metrics is available 48-96 hours after online publication and is updated daily on week days.

Initial download of the metrics may take a while.