Free Access

Fig. 3

image

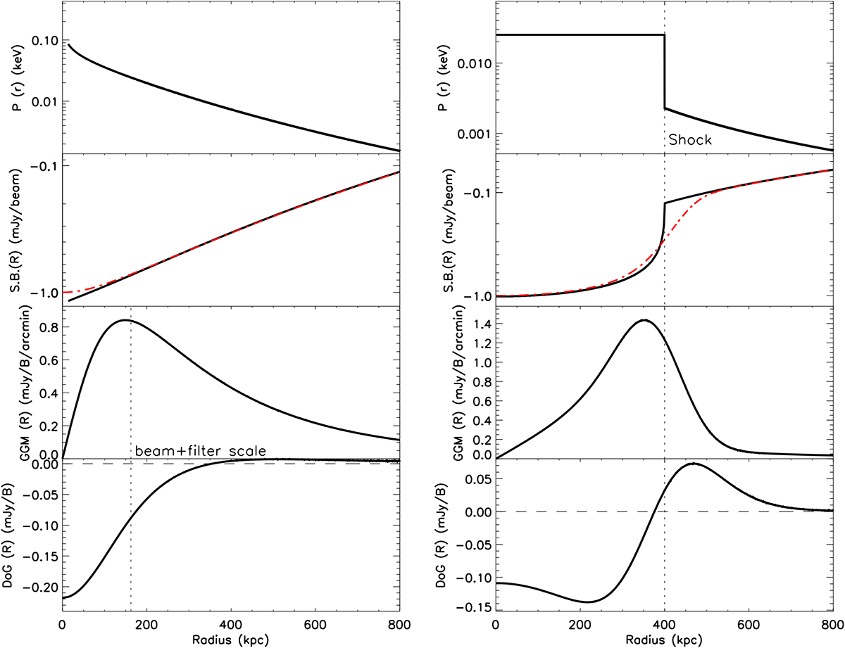
Left: GGM and DoG response to a gNFW radial pressure profile. The vertical dashed line provides the physical size corresponding to the 15 arcsec filter plus the NIKA beam size, at the cluster redshift. Right: GGM and DoG response to a shock propagating outward, in a radially symmetrical way, with Mach number . The shock position is given by the vertical dashed line. From top to bottom, we show the pressure, the surface brightness, the GGM and the DoG radial profile. In the surface brightness case, the thick black lines provide the raw profile while the thin red dashed line accounts for beam smoothing. The pressure depends of the physical radius in 3D, while the other quantities depend on the projected radius, in 2D.

Current usage metrics show cumulative count of Article Views (full-text article views including HTML views, PDF and ePub downloads, according to the available data) and Abstracts Views on Vision4Press platform.

Data correspond to usage on the plateform after 2015. The current usage metrics is available 48-96 hours after online publication and is updated daily on week days.

Initial download of the metrics may take a while.