Free Access

Fig. 1

image

Download original image

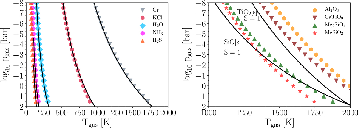
Left: S = 1 phase equilibrium zones of Cr[s], KCl[s], H2O[s/l] and H2S[s/l] cloud species (black lines) as a result of the TEA species number density calculations. Right: S = 1 phase equilibrium zones of TiO2[s] and SiO[s] cloud species (black lines) as a result of our Helling et al. (2016) species number density calculations. Symbols denote values from the S = 1 phase equilibrium fitting equations from Lodders & Fegley (2002); H2O[s/l], H2S[s/l], Visscher et al. (2010); MgSiO3[s], Mg2SiO4[s], Morley et al. (2012); Cr[s], KCl[s] and Wakeford et al. (2017b); Al2O3[s], CaTiO3[s] at solar metallicity. No direct comparisons with TiO2[s] and SiO[s] between the studies are available.

Current usage metrics show cumulative count of Article Views (full-text article views including HTML views, PDF and ePub downloads, according to the available data) and Abstracts Views on Vision4Press platform.

Data correspond to usage on the plateform after 2015. The current usage metrics is available 48-96 hours after online publication and is updated daily on week days.

Initial download of the metrics may take a while.