Fig. 13
Download original image
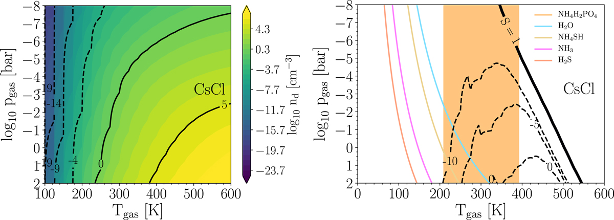
Left: number density contours of CsCl gas phase monomers, log10 n(CsCl) [cm−3]. Right: CsCl[s] S = 1 phase equilibrium result (thick black, solid) and nucleation rate log10 J * contour lines (black, dashed), compared to the S = 1 equilibrium limit equations (coloured, solid) found in Visscher et al. (2006, 2010), Morley et al. (2012), Wakeford et al. (2017b) for a variety of cloud condensate species.
Current usage metrics show cumulative count of Article Views (full-text article views including HTML views, PDF and ePub downloads, according to the available data) and Abstracts Views on Vision4Press platform.
Data correspond to usage on the plateform after 2015. The current usage metrics is available 48-96 hours after online publication and is updated daily on week days.
Initial download of the metrics may take a while.